热塑性CF-PAEK(PEEK)包覆成型工艺,模具温度对界面结合强度的影响
高性能ug环球登陆复合材料具有高韧性、耐冲击、吸湿率低、耐环境性能优良等优点,针对该类型复合材料的研究工作一直在持续开展,不仅制备出了多种基体的ug环球登陆复合材料,而且也总结发明了多种可行的加工处理工艺,如注塑成型、模压成型和包覆成型等。高温熔融技术一直被认为是解决ug环球登陆复合材料制备的主要方式之一,ug环球登陆将结合专业论文,介绍连续碳纤维增强聚芳醚酮(CF-PAEK)和短切碳纤维增强聚醚醚酮(CF-PEEK)在包覆成型加工中,模具温度对两种复合材料界面结合强度的影响。

热塑性CF-PAEK和CF-PEEK制备包覆复合材料
选择单向碳纤维制备了连续碳纤维增强热塑性维聚芳醚酮(CF-PAEK)复合材料,然后通过模压成型制成连续碳纤维增强复合材料层压板。选择聚醚醚酮(PEEK)和短切碳纤维增强聚醚醚酮(SCF-PEEK)作为注塑材料,注入模具中置于CF-PAEK层压板的表面,并保持压力一定时间,制成混合的包覆复合材料。待空气冷却到室温后,取出成型的ug环球登陆复合材料,裁切成固定大小,后续进行多项性能试验,包括力学性能测试、电镜扫描测试、体积分数测试、流变行为测试和纳米压痕测试等,并将测试数据绘成图形,经过对多组试样的对比研究,得出相应结论。
模具温度对热塑性CF--PAEK(PEEK)复合材料界面结合强度的影响

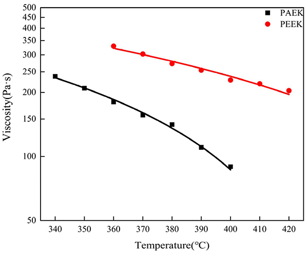
1、PEAK和PEEK树脂粘性-温度曲线:上图为PEAK和PEEK树脂粘性-温度曲线图,数据显示PAEK在340℃~400℃下的粘度约为89~237Pa·s,PEEK在360℃~420℃下的粘度为203~330Pa·s。两种热塑性树脂都具有剪切稀化行为,粘度随温度升高而降低。树脂熔体的粘度越低,扩散越好,对界面结合强度的正向影响越大。

2、不同模具温度下包覆成型复合材料的剪切强度:上图a为PEEK和SCF-PEEK这两种材料在不同模具温度下的应力-应变曲线,上图b为PEEK/CCF-PAEK和SCF-PEEK/CCF-PAEK在不同模具温度下的剪切强度数据,PEEK/CCF-PAEK的剪切强度分别为56MPa、65MPa、70MPa和68MPa,而SCF-PEEK/CCF-PAEK的剪切强度为77MPa、79MPa、85MPa和71MPa。
结果显示,随着模具温度的升高,试样的剪切强度得到提升,而经过短切碳纤维的增强,SCF-PEEK/CCF-PAEK的剪切强度更高。模具温度影响注射熔体(PEEK和SCF-PEEK)与CCF-PAEK层压板之间的界面温度保持时间以及固化前的接触时间,而随着模具温度的升高,界面层的温度逐渐升高,以促进PAEK树脂在低熔融温度下的熔融和扩散,提高界面结合强度。

3、 不同模具温度下包覆成型复合材料试样的剪切破坏模式:上图为PEEK/CCF-PAEK包覆复合材料在不同模具温度下的试样剪切破坏截面图,显示在剪切力作用下,试样两侧开始出现裂纹,并向中间扩展。当模具温度为220℃和240℃时,PEEK/CCF-PAEK的失效主要是由于界面分层造成的,说明界面结合强度较弱(上图a和b);而当模具温度升高到260℃和280℃时,PEEK/CCF-PAEK失效主要是由层间断裂引起,说明界面结合强度较强(上图c和d)。

上图为SCF-PEEK/CCF-PAEK包覆复合材料在不同模具温度下的试样剪切破坏截面图,试样状态与PEEK/CCF-PAEK包覆复合材料相似。当模具温度为220℃和240℃时,界面结合失效依然是主要问题(上图a和b);当模具温度升高到260℃和280℃时;SCF-PEEK/CCF-PAEK的失效为CCF-PAEK的层间断裂和SCF-PEEK的弯曲失效(上图c和d)。由于包覆成型产生的弯曲变形和层间剪切变形,当界面结合强度减弱时,PEEK、SCF-PEEK和CCF-PAEK之间会发生分层。随着界面结合强度的增加,复合材料的界面分层逐渐减少,树脂的层间断裂增加。
实验结果表明,复合材料的界面失效模式随着模具温度的升高而变化。当它较低时,界面温度较低,注塑模具熔体冷却较快,分子扩散相对较慢,导致粘合性较差。剪切破坏表现为界面破坏。界面结合表现为机械结合。随着模具温度的升高,PEEK的断裂表面积逐渐增大。较高的模具温度提高了PEEK树脂与PAEK之间的界面温度,增加了固化前的共混时间,有利于树脂的熔融过程。当界面温度高于PAEK的熔化温度时,在界面处形成树脂共晶层,提高了界面结合强度。

4、 不同模具温度下包覆成型复合材料的纳米压痕载荷-深度曲线:上图中曲线显示,对于相同的压痕载荷,压痕深度随着模具温度的升高而逐渐变小,说明界面处树脂的承载能力随着模具温度的升高而逐渐变强。对于PEEK/CCF-PAEK复合材料,模具温度为260℃时,界面树脂的负载能力与PEEK相似,表明包覆复合材料与注射层树脂(PEEK)已达到熔融树脂互混的状态,与PEEK的强度几乎一致。与PEEK相比,SCF-PEEK/CCF-PAEK复合材料界面处的负载更高,这表明添加短切碳纤维可以增强界面处的树脂,使其能够承载更高的负载。
当压痕深度较小时,模量随着压痕深度的增加而迅速减小(上图b),且此时模量曲线变化较多。深度超过250nm后,模量值随着深度的增加逐渐变得平滑。当压痕深度超过500nm时,模量曲线变得平滑。当模具温度为220℃时,PEEK/CCF-PAEK包覆复合材料的深度-模量曲线比较不稳定,此时的模量较低,为4.2GPa,表明熔体在260℃的模具温度下可以与瓶坯表面树脂形成树脂共生层,因此具有与PEEK相同的模量。

SCF-PEEK/CCF-PAEK包覆成型复合材料,深度-模量曲线相对平滑,短切碳纤维的添加可以提高界面处树脂的模量。随着模具温度的升高,模量也逐渐增大。当模具温度为260°C时增幅较高,可以达到5.5GPa,与模具温度260℃下界面结合状态的转变有关,说明界面上两种树脂能够熔融扩散成一体。另外短切碳纤维在树脂熔融状态下可以嵌入界面层中,有利于模量的提高。





