引入多壁碳纳米管或可提升ug环球登陆的层间剪切强度
热固性碳纤维虽然是当下碳纤维复合材料中应用最为广泛的一种,但其本身的性能上限并不算高,加之脆性较大、抗冲击性较弱、耐高温能力一般,而且还无法回收和重塑,因此材料界才会将目光转移到更全面的ug环球登陆上。不过ug环球登陆的制备并不容易,热塑性树脂粘度大、浸润效果差的问题一天不解决,批量生产就无法得以实现。本文将探讨多壁碳纳米管在碳纤维复合材料,尤其是ug环球登陆复合材料中是否具备一定的促进和改善作用。

多壁碳纳米管天生与热塑性树脂不契合
多壁碳纳米管(MWCNT)目前已经被证实,可应用于提高热固性碳纤维(CFRP)的机械性能,包括抗冲击性、 断裂韧性和层间剪切强度(ILSS),制作方法也相对简单,只要将多壁碳纳米管(MWCNT)掺入热固性碳纤维复合材料中,形成一定的混合物。但这种掺入的方式并不适用于ug环球登陆复合材料,这是因为热塑性树脂本身具有较高的粘度和较低的表面自由能,多壁碳纳米管的简单混入会出现分散不均匀的问题,反而提升了热塑性树脂的粘度,从而降低了碳纤维和热塑性树脂基体的浸渍与界面结合,反而会影响ug环球登陆复合材料整体的机械性能。
那是否说明多壁碳纳米管自此与ug环球登陆无缘了呢?其实不然,对于性能上可能有冲突的两种材料,通过正确的加工处理方式,或许可以让不可能变为可能,让ug环球登陆复合材料的性能得到提升,同时为日后的批量制备带来转机。既然多壁碳纳米管与热塑性树脂锲合度不高,那将之与碳纤维进行结合,或许可以解决以上的问题。

多壁碳纳米管锚定碳纤维,可提升抗冲击性和层间剪切强度
有国外研究团队开发了可大规模生产的多壁碳纳米管锚定碳纤维的加工方案,将其作为ug环球登陆复合材料(CFRTP)的新型结合应用方式。 研究中分别通过酸处理和火焰处理,在多壁碳纳米管和碳纤维上引入官能团,并通过偶联剂的酯化反应进行固定,得到锚定多壁碳纳米管的碳纤维,再与热塑性树脂(PA6)融合,形成的新型ug环球登陆复合材料,并通过各项实验。测定的数据证实,其抗冲击性和层间剪切强度均得到了一定的提升。

1、多壁碳纳米管锚定碳纤维:实验选用T700碳纤维、聚酰胺(PA6)和直径20-30nm、长度10-30μm的多壁碳纳米管,碳纤维上原先的上浆剂通过火焰处理实现退浆,然后将火焰处理后的碳织物浸入0.5wt.%的环氧基封端的硅烷偶联剂水溶液中,再将涂有硅烷偶联剂的碳织物在对流烘箱中于120℃下干燥2小时。整个过程就是通过将涂覆有偶联剂的碳织物浸入分散有多壁碳纳米管的水中来制备多壁碳纳米管锚定的碳织物。
2、多项对比测验:原始的碳纤维、多壁碳纳米管锚定后的碳纤维(多种浓度,包括1wt.%、2wt.%、3wt/%、4wt.%和5wt.%),原始的聚酰胺和与多壁碳纳米管混合后的聚酰胺,将以上4类素材进行多次横向和纵向对比,通过数据结果来获取正确的结论。
a、添加多壁碳纳米管前后的性能对比
b、混入和锚定这2种方式提升复合材料机械性能的效果对比
c、不同浓度的多壁碳纳米管锚定碳纤维提升的机械性能效果对比
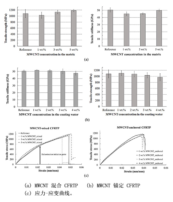
3、实验结果显示:
a、抗拉强度:无添加、混入多壁碳纳米管和锚定碳纳米管的CF/PA6的抗拉强度和模量分别约为1100MPa和50GPa,期间随着多壁碳纳米管的浓度发生轻微的波动,但相差不大。而通过应力应变曲线(S-S曲线)和失效模式之间的差异可以推断出,多壁碳纳米管锚定的CF/PA6的层间剪切强度有所提升。

b、层间剪切强度:混入多壁碳纳米管的CF/PA6的层间剪切强度(ILSS)从原先的35MPa降低至28MPa,这是多壁碳纳米管混入后提升了树脂粘度,降低了浸润效果的原因导致;而随着混入浓度的提升,层间剪切强度几乎没有变化。锚定碳纳米管的CF/PA6的层间剪切强度,随着浓度的提升而提升,随后会出现下降,分别为46.7MPa(1wt.%)、40MPa(2wt.%和3wt.%)、24MPa(4wt.%)。锚定多壁碳纳米管后的CF/PA6,表面的偶联剂层从碳纤维上剥离,形成了机械和化学联锁反应。浓度为1wt.%,层间剪切强度达到顶峰,峰值46.7MPa,随着浓度的提升,碳纤维和偶联剂层之间也发生分层,层间剪切强度降低至24MPa。

c、抗冲击强度:无添加的CF/PA6的抗冲击强度为191kJ/m2,混入多壁碳纳米管的CF/PA6的抗冲击强度随着浓度的提升而上升,在3wt.%时达到的顶峰,峰值为231kJ/m2,后续浓度提升,抗冲击强度没有明显的变化。锚定多壁碳纳米管的CF/PA6的抗冲击强度随着浓度的提升先上升后下降,分别为300kJ/m2(1wt.%)、310kJ/m2(2wt.%)、356kJ/m2(3wt.%)、265kJ/m2(4wt.%),在3wt.%浓度时达到顶峰,峰值356kJ/m2,浓度提升断裂模式从脱粘转变为PA6基体断裂,导致抗冲击强度大幅回落。

通过多项反复实验、横向与纵向对比,发现多壁碳纳米管混入热塑性基体,并不能提升层间剪切强度和抗冲击性,反而起到拉低的作用;而多壁碳纳米管锚定碳纤维后制备的ug环球登陆复合材料,在层间剪切强度和抗冲击性上的提升效果显着,但前提是需要选择合适的浓度,否则同样会受到一定的负面效果。






